Skip to main content

Words of War: 3

Words of War
3
  • Show the following:

    Annotations
    Resources
  • Adjust appearance:

    Font
    Font style
    Color Scheme
    Light
    Dark
    Annotation contrast
    Low
    High
    Margins
  • Search within:
    • Notifications
    • Privacy
  • Project HomeWords of War
  • Projects
  • Learn more about Manifold

Notes

table of contents
  1. List of Figures and Tables
  2. Acknowledgments
  3. A Note about the Online Appendix
  4. Introduction: Time to Talk
  5. 1. A Theory of Wartime Negotiations
  6. 2. Quantifying Two Centuries of War
  7. 3. Fighting to Talk
  8. 4. Talking to Fight
  9. 5. Fighting Words in the First Arab-Israeli War
  10. 6. The “Talking War” in Korea
  11. Conclusion: Time to Stop Talking
  12. Notes
  13. References
  14. Index

3

Fighting to Talk

My theory produces several interrelated predictions about when negotiations will happen during war and when those negotiations will succeed in their ostensible goal of settling hostilities. These predictions are conditional on the level of latent third-party pressures that can be easily activated and placed on belligerents, as well as the degree of information revealed from fighting on the battlefield. Each of these factors influences the relative costs and benefits to negotiating either sincerely or insincerely.

This chapter uses a combination of statistical methods and two comparative case studies to assess the validity of these claims. My negotiation and battle data, described in the previous chapter, offer an opportunity to analyze negotiation and battlefield behavior across two hundred years of interstate wars. To test the impact of latent external pressures for peace, I make the case for using the year 1945 as a critical source of empirical leverage. Numerous scholars have observed and demonstrated that the liberal international order established in the aftermath of World War II has produced multiple institutions and connections aimed at preserving international peace and opposing the use of force. These compounding forces facilitate the activation of diplomatic pressures on belligerents in contemporary wars. A series of statistical tests indicate that the year 1945 indeed marks a turning point in the frequency of negotiations. Additional models based on this finding show firm support for my theory’s predicted implications. Wars before 1945 involve far fewer negotiations, but negotiations that occur are responses to a clear battlefield trend and promptly end wars. In contrast, wars after 1945 have a much higher propensity for negotiations regardless of the battlefield and frequently fail to end hostilities, but talks in response to distinct battlefield trends are more likely to produce peace. I provide greater context for this finding by differentiating negotiations borne of direct external pressure from those sought by the belligerents themselves. This exercise shows that post-1945 negotiations are far more frequently products of third-party endeavors, and talks spearheaded by third parties are far weaker predictors of war termination than talks launched by the belligerents.

While the year 1945 is objectively important to understanding the changing character of wartime negotiations, it is a blunt instrument to assess the effects of latent pressures on negotiation behavior. I therefore also leverage whether or not belligerents are major powers. I show that minor powers are far more likely to be pushed into negotiations that amount to nothing. Additional data on third-party interventions reveal that outside actors initiate more diplomatic appeals in post-1945 wars when major powers are not directly involved in the war itself.

I supplement my quantitative analysis with a qualitative comparison of two wars that feature the same sets of belligerents, separated by almost eighty years: the Greco-Turkish War of 1897 and the Turco-Cypriot War of 1974. In an environment featuring relatively few external pressures to negotiate, Turkey and Greece did not negotiate in the former conflict until the battlefield solidly demonstrated the Turks’ superiority. In contrast, the heavy presence of third-party diplomatic pressures in the latter conflict resulted in constant but largely unsuccessful talks. It was only once Turkey made major territorial advances that a diplomatic settlement brought hostilities to an end. Across both the quantitative and qualitative evidence, the coalescence of latent pressures and information from recent battlefield developments defines not only when negotiations take place but whether they accomplish their professed aim of reaching a mutually acceptable agreement.

1945 and the Explosion of Latent Pressures

The theory I have established highlights the importance of latent external pressures for peace in explaining wartime negotiation behavior. Domestic actors, individual states, and international organizations may have varying degrees of interest in promoting peace in active conflicts, depending on specific circumstances regarding the identity of the belligerents, the nature of the disputed issue, and the like. But the ability to quickly and effectively direct these diplomatic pressures against warring parties depends on the size and strength of an infrastructure designed to facilitate such activity. The baseline degree of pressure that auxiliary actors can harness depends on how many actors can immediately be deployed to try facilitating dialogue, what connections already exist between states to allow them to communicate with each other, and what institutions exist that foster and promote peaceful dispute resolution. I argue that one historical change most effectively captures a change in these latent pressures: the establishment of the post-1945 international order.

Numerous pieces of scholarship have pointed out the myriad enormous shifts that redefined the international system following World War II. In the words of the political scientists Gary Goertz, Paul Diehl, and Alexandru Balas, “World War II constitutes the tipping point in the international system’s movement toward more peace.”1 Various works have extensively scrutinized several features of this post-1945 liberal international order, some of which emerged in inchoate form after World War I, and how each has affected the nature of international conflict. By extension, these features influence the number of sources of diplomatic pressure, as well as their potency. Three are particularly notable.

First, the rules of conflict changed on both normative and legal fronts. The trauma of World War I raised questions about the legitimacy of war,2 but the experience of World War II consolidated a broader aversion to conflict.3 Norms on sovereignty and territorial integrity became vital sources of stability designed to preclude the territorial disputes and conquests that fueled World War II.4 Laws of conflict also attempted to punish and stem inhumane acts of violence during war. Early steps were taken with the Hague Convention of 1899, but a broader global framework came into being with the 1949 Geneva Conventions and postwar trials in Nuremberg, Tokyo, and Manila. Contemporary research has not yet produced a clear consensus about whether states comply with laws of war due to self-interest or international enforcement, but these laws do appear to effect changes in state behavior.5

Second, the weapons that could be used in conflict became cataclysmic in their destructive power. The bombings of Hiroshima and Nagasaki violently heralded a new era of warfare where ruinous destruction required only mere seconds. Widespread acknowledgment of this danger may help to explain why wars since 1945 have been relatively limited in nature.6 Belligerents that possess nuclear weapons may have incentives to seek moderation and increase contact with their opponent to avoid cataclysmic outcomes, and nonnuclear actors would also highlight these concerns.

The third dimension, which is built on the previous two, is the advent of fixed institutions. While international institutions have existed for centuries, they rose to real prominence after World War II. The Charter of the United Nations, signed by fifty original member states on October 24, 1945, epitomized the desire for an international order that strove “to maintain or restore international peace and security.”7 A multitude of additional fixed institutions have been created to promote the same cause.8 Over time, these institutions have fostered a growing community of professional negotiators that embody a set of increasingly legitimized norms and procedures that promote the peaceful resolution of conflict.9

The post-1945 international order therefore establishes an array of tools and ideas that attempt to promote peace and stability. Third parties, many of whom now work as career officials for these fixed institutions, are buttressed by a normative and legal framework and can urge states to engage in diplomacy. The pre-1945 world therefore features far lower levels of latent external pressure than the post-1945 one. Consequently, the 1945 line can be exploited to test the impact of latent external pressures on negotiations.

The Validity of the 1945 Line

While existing literature suggests that the 1945 line represents a tenable proxy for low or high latent external pressures for peace, we must first address whether this assumption holds up to empirical scrutiny. Two findings strongly suggest that the year 1945 indeed marks an inflection point in the frequency of wartime negotiations. Importantly, both pieces of evidence identify the 1945 line on their own, based solely on the nature of my negotiation data.

The first assessment is a structural break test. For each year between 1823 and 2003, I calculate the total number of war-days that feature negotiations, as well as the total number of interstate wars and war-days. This produces a time series to which I apply a structural break test that identifies the years in which the frequency of negotiations systematically shifts, accounting for the total number of wars and war-days. The test with the best fit in terms of the Bayesian information criterion (BIC) identifies two inflection points: 1945 and 1972.10 The break in 1972 represents the significant drop-off in negotiations after the United States negotiated its withdrawal from the Vietnam War. If I restrict the test to identifying only one structural break, it identifies the year 1947. Given that no wars take place between the end of World War II in 1945 and the start of the First Kashmir War in 1947, this is effectively indistinguishable from 1945 and merely identifies the fact that the First Kashmir War marks a sudden increase in rates of wartime diplomacy.

The second test uses a battery of bivariate logistic regressions. For each year Y ranging from 1824 to 2002 (the years immediately following and preceding the limits of my war data), I regress the binary negotiation variable on an indicator variable that takes the value 0 on all war-days up to year Y and the value 1 on all war-days after the year Y. This exercise produces 179 separate models, each of which fits the negotiation data to varying extents. The BIC again offers a direct way to compare fits across these 179 iterations. The two models with the lowest BICs, and thus the best fits, are those in which Y equals 1945 and 1946.11 We therefore have evidence that the 1945 line is indeed associated with a meaningful change in belligerents’ negotiation calculus and is thus a useful source of leverage in the statistical analyses to follow.12

Basic descriptive statistics about the binary negotiation variable bolster these findings. Consistent with the implications of my theory, there are clear signs that the rate of negotiations distinctly jumps upward in an environment with higher latent pressures. While 11 percent of war-days in wars before 1945 involve negotiations between belligerents, more than double that—28 percent—do so in wars following 1945. Note that the overall statistic of 17 percent across the entire dataset, which I have mentioned in preceding chapters, masks this distinct change in frequency between the two historical eras.

The descriptive statistics I have shown here are informative, easily interpretable, and entirely consistent with the broad implications of my theory. They do not, however, account for the impact of battlefield information or a host of other factors that could influence states’ negotiation strategies. For that, we move on to a more complete and thorough statistical analysis of wartime negotiations.

Modeling Wartime Negotiations

In order to properly assess my hypotheses regarding the frequency of negotiations and their impact on peace, I require a model that simultaneously accounts for the onset of talks and the impact of these talks on the termination of conflict. The ideal model would permit explanatory variables to have different effects on both phenomena and capture the entire sequential process through which wars eventually come to an end.

The most effective tool for this endeavor is the multistate model. Multistate models have had a longer history in the field of health, where they have been used to study individuals’ transitions between different stages of disease.13 The method has received far less attention in political science, despite how useful it would be in analyzing complex dynamics that are common to political affairs.14 Multistate models allow a researcher to capture a process that may go through multiple stages along any pathway that the researcher defines as being possible. Once a subject undergoes a transition from one state to another, the subject remains in the data, and the model then estimates the subject’s likelihood of transitioning to another state from this new state.

This feature not only permits us to study wars that feature multiple periods of negotiation but provides insights into why wars may transition out of negotiations and back to only fighting. Perhaps more importantly, multistate models also allow covariates to have varied impacts on the likelihood of different state transitions.

Figure 3.1 depicts how a multistate model would be applied to my theory’s setting. On any given day of war, the conflict may be in one of three states: no negotiations taking place, negotiations taking place, or the termination of hostilities. Note that, throughout the conflict, the war can repeatedly transition between having no talks and having talks. The move from either of these states to termination, however, is final and marks the end of the war. Coincidentally, this is also known as the “terminal” state.15 To facilitate a more natural discussion of transitions between these states, figure 3.1 also includes names for each of the four possible transitions that can take place within this structure. I will use these names throughout the remainder of the quantitative analysis in this chapter.

The numbers in figure 3.1 also show the frequency of transitions between these three states at the daily level. Unsurprisingly, the vast majority of war-days feature no negotiations and remain in that state the following day. In all, 187 negotiation periods begin following a day without talks.16 The figure also shows that when negotiations take place, they often continue into the next day. But discussions fall apart in 137 cases and produce peace in the remaining 52. A multistate model will help reveal which factors influence each of these transitions between the three different states of war.

The information demonstrated in this image is fully described by the caption.
Figure 3.1. Three states and four transitions of war.

Design

According to my theory, battlefield information should have different impacts on the occurrence and outcomes of negotiations depending on whether high levels of latent third-party pressure exist. Environments with low latent pressures should feature fewer negotiations overall, but talks should become more likely as fighting reveals a clear trend in one side’s favor. The high costs of negotiating lead most of these talks to be sincere and thus more likely to end the conflict. In contrast, environments with high latent pressures decrease the costs of negotiating. Wars in this context should exhibit a much weaker relationship between battlefield outcomes and the onset of negotiations, but any talks that do occur will be increasingly sincere and likely to end the conflict if fighting exhibits a trend.

I assess this general claim by applying separate multistate models to wars before 1945 and after 1945. As I have shown, systemic changes following the end of World War II provide a source of leverage to test the impact of latent third-party pressures for peace. The key explanatory variable in each model is recent imbalance in fighting over the previous sixty days.17

A variety of factors may confound our ability to identify the relationships between these central variables throughout my tests. I therefore include several control variables common to war literature that could simultaneously affect battle outcomes, negotiating behavior, and conflict resolution.

First, belligerents may be more willing to fight harder when a conflict involves existential threats, which are often linked to wars with serious credible commitment issues. I account for issue salience using a three-level classification scheme developed by Holsti and extend it to cover more recent wars.18 I add together the issue salience scores of both sides to produce the final measure included in the analysis.

Second, wars between more distant belligerents may be difficult to supply or manage.19 Conflicts between neighboring states may not only be easier to prosecute but involve more familiar parties and difficult issues such as territorial claims. I use the Correlates of War Direct Contiguity dataset to create a dummy variable of contiguity, indicating whether belligerents share a land or river border.20

Belligerents with greater capabilities are likely to have an upper hand over their opponent.21 Using the Composite Index of National Capability (CINC) measure from the National Material Capabilities dataset,22 I add together the annual CINC measures for all active belligerents on each side in the war. I divide the war initiator’s total score by the sum of both sides’ scores, with adjustments made when individual states in multilateral wars enter and exit. For this CINC ratio, values near 1 represent a far more capable war initiator, while those near 0 indicate a more capable war target.23

A trove of literature expects democratic war initiators to be more discernible, credible, and effective—yet impatient—belligerents.24 A binary measure based on the Polity dataset tracks whether the initiating side of the conflict features at least one state that is a democracy. In other words, this variable reflects the involvement of a democratic initiator.25

The threat of nuclear warfare is often considered a vital reason why post-1945 wars have maintained a limited nature.26 Not only may the presence of nuclear weapons incentivize states to seek peace, but nuclear states at war may also wield greater coercive capabilities while bargaining because of their ability to resort to a nuclear option. In analyses involving post-1945 conflicts, I include a variable for nuclear states, which tracks whether any belligerent has successfully tested a nuclear weapon on or after the war-day in question.27

The number of states actively involved in conflict may complicate how one side of a conflict engages in hostilities or determines its negotiation strategy. Coalitions of states fighting a war on the same side often enjoy higher prospects of victory but may harbor concerns about individual members abandoning the conflict, leaving the remaining states to manage with fewer resources.28 I thus include a variable for the total number of states involved in the war on a given war-day.

It is also natural to believe that negotiations would occur more readily or be more efficient between belligerent countries that already have standing diplomatic representatives before the outset of war. I thus use the Diplomatic Exchange dataset to determine whether any diplomatic representation exists between states that are on opposing sides of a conflict.29 This binary variable reflects opponent diplomatic representation.

While international institutions, norms, and organizations may lay the foundation for latent external pressures for peace, belligerents’ alliances may create conflict-specific forces for or against diplomacy. If a war features states that are allied with major powers, belligerents and their powerful allies may be concerned about the risk of entrapment or escalation and thus see the appeal of diplomacy. Conversely, having powerful allies that could potentially intervene on one’s behalf could decrease the appeal of exploring a diplomatic exit.30 I account for these possibilities by creating a measure called major allies. This variable indicates whether any active belligerent has an alliance with a major power (as defined by the Correlates of Wars State System Membership dataset) in pre-1945 wars or one of the two superpowers—the United States or the Soviet Union—in post-1945 wars.

Finally, while my theory is consistent with other scholars’ arguments that recent battlefield trends weigh more heavily on decision-makers’ minds, the total accumulation of past hostilities may still remain relevant. I therefore include a measure of overall imbalance, which captures the cumulative outcomes of all battles throughout the entire war. I also add a running count of the logged number of completed battles by a particular war-day, based on my battle data.31

Results

Figures 3.2 and 3.3 summarize the results of models applied to pre-1945 and post-1945 wars, respectively. Overall, the results directly reflect the expectations of my theory.

We begin with pre-1945 wars, where latent third-party pressures for peace are systematically lower compared to the post-1945 world. The positive and statistically significant coefficient for the transition into negotiations indicates that the initiation of talks becomes more likely as recent battlefield activity firmly moves in one side’s favor. Moreover, a similarly positive and statistically significant effect appears for the transition from negotiations into war termination—in other words, negotiated settlement. This indicates that when negotiations do take place, discussions that take place alongside a heavily slanted battlefield are more likely to produce diplomatic settlements. By dint of ending the conflict, these negotiations have shown themselves to be sincere. We therefore see strong evidence that a clear battlefield trend both triggers negotiations and leads negotiations to be successful in resolving the conflict.

We can compare these results with those from post-1945 wars, where latent pressures for peace are significantly higher and where I have demonstrated that negotiations become more frequent. The findings for recent imbalance are telling. There is no longer a significant relationship between battlefield trends and the initiation of talks; however, negotiations that do take place are still more likely to produce a negotiated settlement if recent imbalance trends consistently in one side’s favor.

A more intuitive way to interpret these models is through hazard ratios. A hazard ratio is the ratio of the hazard rates (the rate at which an observation may transition into a new state) between two groups that experience different levels of an explanatory variable. All else being equal, if the hazard ratio for the recent imbalance variable is 1.35, a war where recent imbalance has a value of 1 is 35 percent more likely to undergo a transition compared to a war where recent imbalance has a value of 0; a war with a recent imbalance of 2 is 35 percent more likely to experience a transition than a war with a recent imbalance of 1; and so on.

Table 3.1 uses the multistate models to derive hazard ratios for transitioning into negotiations as well as negotiations leading to settlement, conditional on latent external pressures and battlefield trends. The first row shows a distinct positive relationship between recent imbalance and the likelihood of negotiations in pre-1945 wars, where latent external pressures for peace are relatively low. Across all nonzero values of recent imbalance, the lower bound of the 95 percent confidence interval is higher than 1, indicating that battlefield trends indeed expedite the onset of negotiations. The hazard ratios themselves indicate that these changes are substantively meaningful. According to the model, increasing one side’s recent battlefield trend by one unit increases the chances of negotiations by 15 percent over the baseline. Matters look different in post-1945 wars, which feature higher levels of latent external pressure. The positive relationship between recent imbalance and negotiation onset is also approximately 9 percent, but the 95 percent confidence interval around the hazard ratio includes the value 1. No statistically significant relationship exists between recent battlefield trends and the start of talks.

The information demonstrated in this image is fully described by the caption.
Figure 3.2. Coefficient plots for multistate models of negotiation in pre-1945 wars. Bands represent 95 percent confidence intervals (N = 23,711).
The information demonstrated in this image is fully described by the caption.
Figure 3.3. Coefficient plots for multistate models of negotiation in post-1945 wars. Bands represent 95 percent confidence intervals (N = 13,123).

The second row of Table 3.1 displays corresponding hazard ratios for the transition from negotiations into a diplomatic settlement. The result for pre-1945 wars looks largely similar to what I find for the initiation of talks. For a one-unit increase in recent imbalance, the likelihood of negotiations leading to settlement increases by 27 percent. Increasingly obvious battlefield trends therefore engender talks, and these talks are more likely to successfully settle conflicts. This provides evidence that negotiations become more sincere as fighting becomes more obviously tilted in one side’s favor. In contrast to what we saw for negotiation onset, post-1945 wars also exhibit an extremely positive and statistically significant relationship between fighting and the propensity for negotiations to produce peace. Increasing recent imbalances by one unit augments the chances of negotiations forging settlement by more than 120 percent. Put together, these results strongly align with my theory’s predictions.

Before moving on, it is also worth mentioning that many covariates have differing results according to historical era. Issue salience is a useful case in point. In pre-1945 conflicts, the negative and statistically significant coefficients for transitions into negotiations and into negotiated settlements indicate that belligerents fighting over existential issues are less likely to conclude wars through diplomatic means; wars simply last longer because the stakes are so high. After 1945, issue salience has no bearing on whether negotiations start. This is further suggestive evidence that latent external pressures for peace may be activated without as much regard for the underlying nature of the dispute itself.32

Table 3.1 Hazard ratios of transitions in wartime diplomacy
TransitionPre-1945Post-1945
Start negotiations[1.068, 1.151, 1.241][0.883, 1.092, 1.350]
Negotiated settlement[1.114, 1.269, 1.447][1.181, 2.216, 4.158]

Note: Each triplet represents the lower bound, estimate, and upper bound for 95% confidence intervals.

Similarly, the belligerents’ relative capabilities have different effects over time. In pre-1945 wars, the CINC ratio variable has a negative and statistically significant relationship with negotiated settlements, indicating that any diplomatic talks that occur are less likely to forge peace when the war initiator is relatively strong compared to the target. After 1945, the ratio exhibits a negative relationship with the end of negotiations and a positive one with military victory/defeat. The negative coefficient for the transition out of talks suggests that negotiations end more quickly when the war initiator is much more powerful than its opponent, while the positive coefficient for military victory/defeat shows that relative capabilities are a useful gauge of whether post-1945 wars end via military means.

Alliances with major powers also have some differential effects across time. No meaningful effects appear to exist between these powerful allies and any of the transitions during pre-1945 wars. After 1945, being allied with a superpower appears to hasten the end of any negotiations that come to pass. This result suggests that belligerents that have backing from superpowers feel less need to make compromises or to continuously allay externally generated pressures for peace. At the same time, note that the relationship between nuclear belligerents and the ending of negotiations is negative and statistically significant in post-1945 wars. Put together, these results suggest that the threat of nuclear escalation may push warring parties to keep talking with one another if at least one side actually possesses nuclear weapons, but having allies with massive nuclear arsenals on the sidelines undermines the chances of diplomacy successfully reaching an agreement. Nuclear weapons thus offer a mixed bag with respect to their contribution to conflict management.

Notably, overall imbalance on the battlefield does not offer much leverage to understand negotiation behavior. Battlefields that are more slanted in one side’s favor increase the chances of military/victory defeat in pre-1945 wars, but this is the only statistically meaningful effect found across all models. This bolsters the argument that recent fighting is more relevant than all fighting.33

Finally, the effect of enduring more battles differs across historical eras. Talks are less likely to end and are therefore longer in pre-1945 wars. Meanwhile, in post-1945 wars, talks are less likely to begin but are also more likely to produce peace when they do occur. The negative coefficient for the transition into negotiations in post-1945 conflicts intimates the possibility that external diplomatic pressures are applied most readily in the early stages of conflict, before many battles have allowed any actors to update their beliefs about the future trajectory of war. Evidence in the next section also supports this claim.34

Manifestations of Pressure

The main results I have just presented show the prominent impact that the post-1945 international environment has on wartime negotiation behavior. Given the significance of these core findings, it is worth gathering additional evidence that the observed changes in negotiation frequency following 1945 are actually a consequence of third-party pressures.

If latent pressures for peace are indeed responsible for changing how negotiations occur, then we should expect to see more negotiations that are direct consequences of external pressure in the post-1945 world. The data prove this to be the case. Out of 116 negotiations in pre-1945 conflicts, 89 (77 percent) are orchestrated by the belligerents themselves, and the remaining 27 (23 percent) are products of third-party missions. In wars after 1945, 49 out of 73 negotiation periods (67 percent) are products of external pressure—a nearly threefold increase in the rate of outside influence.

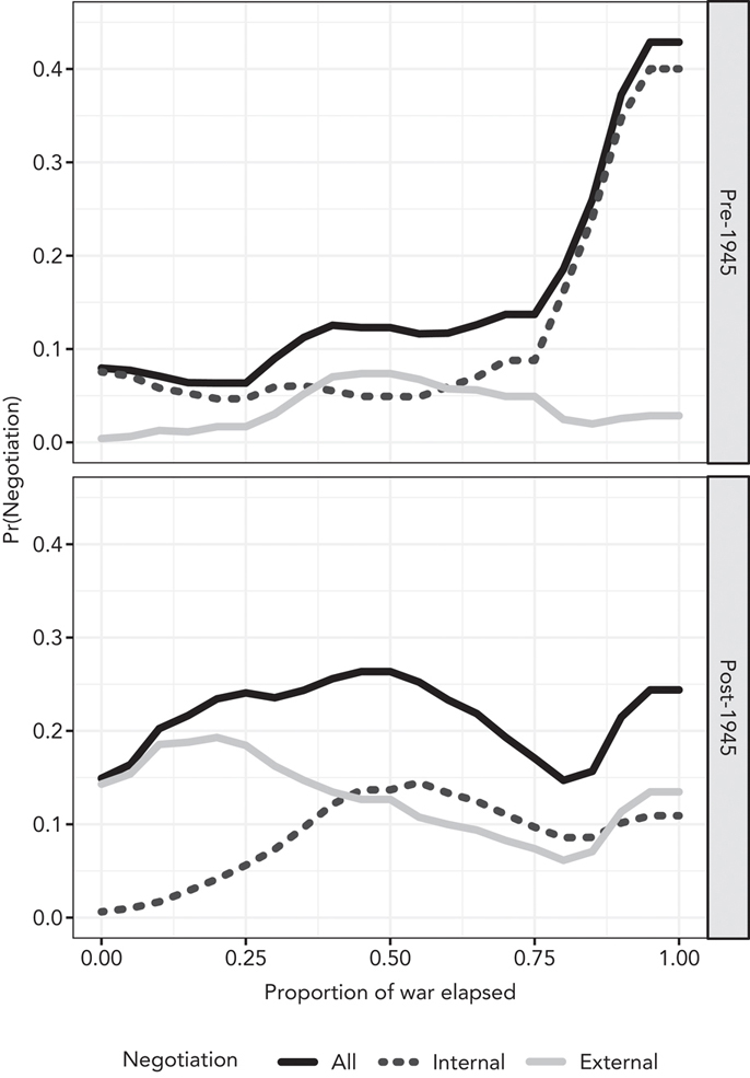
Figure 3.4 visually summarizes trends in negotiations over the duration of pre-1945 and post-1945 wars.35 The solid black lines represent rates of all talks across both periods. The breakdown of negotiations by type reveals significant differences across historical eras. Most negotiations during pre-1945 wars are internal, and almost all negotiations that end wars are also internal. A small wave of external talks occurs in the middle of many wars but does not amount to much. In contrast, in the post-1945 world, where negotiations are much more common over the entire conflict, external talks occur most readily at the outset of conflict and gradually fade as wars continue. Meanwhile, internal talks gradually rise in frequency, and both forms of negotiation contribute roughly evenly to war termination.

An even more striking contrast between these two time periods is the composition of internal and external negotiations. Most negotiations in pre-1945 conflicts are internal, and the vast majority of diplomatic settlements that terminate conflict are based on internal negotiations. The mixture of internal and external negotiations is much more varied and seemingly uninformative in explaining when or why wars would end. That said, one conspicuous aspect of figure 3.4 is that almost all negotiations that occur at the outset of post-1945 conflicts are external; the belligerents are given little opportunity to seek diplomacy on their own or to avoid the issue. Internal negotiations gradually increase in prevalence as the war proceeds, but these talks do not have the same relationship with settlement as what we see in pre-1945 wars. In short, negotiations that occur in wars after 1945 and that are external have weak connections to conflict resolution.

To more rigorously test whether negotiations based on external pressure differ in their effects on settlement, I turn to hazard models where the outcome of interest is war termination. Figure 3.5 displays the results of two models designed for this purpose. As a point of reference, the first model features the original binary negotiation variable I have used thus far in my analysis. The second model includes two separate binary variables that track whether negotiations were internal or external. We see that negotiations as a whole have a highly positive and statistically significant impact on prospects for the cessation of hostilities. All else being equal, a day with negotiations is more likely to end on the following day compared to a day where belligerents are not speaking with one another, by a factor of 7.2.36

The information demonstrated in this image is fully described by the caption.
Figure 3.4. Smoothed plots of propensity to negotiate over the course of wars.
The information demonstrated in this image is fully described by the caption.
Figure 3.5. Hazard models of war termination. Bands represent 95 percent confidence intervals (N = 36,834).

The model that disaggregates internal and external negotiations, however, demonstrates that much of this hastening effect is dictated by diplomatic bargaining that the belligerents themselves pursue without direct outside interference. Internal negotiations increase the odds of war termination by a factor of 11.8 relative to the baseline rate. External negotiations augment the odds of war termination only by a factor of about 2.8. A linear hypothesis test indicates that the coefficient estimates for internal and external negotiations are statistically different from one another (p < 0.01). External negotiations as a whole thus have a meaningful and positive effect on war termination, but this effect is meaningfully lower than that for internal negotiations. This supports the logic of my theory that diplomacy under duress is much less likely to involve sincere or successful efforts at peace.37

When combined, these results suggest that one of the main reasons the 1945 line drives much of my findings is that modern-day external actors have become far more vocal and successful in getting belligerents to negotiate with each other during war. Yet the nature of these talks allows belligerents to engage in diplomacy even when they have no genuine desire to stop fighting. Third-party efforts certainly do not guarantee failure, but they more frequently permit settlement-averse actors to still talk to one another (perhaps for side effects) without feeling as many negative repercussions for doing so. In short, outside pressure to negotiate may lead to more insincere forms of diplomacy.

Minor Sources of Pressure

The shift in negotiation behavior around 1945, while significant, captures an average effect. It is an admittedly blunt approach to capturing changes in latent pressures. Peace-forward institutions certainly existed before 1945, and not all conflicts after World War II have been inundated with conflict management efforts. Are there any other more refined ways we can test for the impact of latent external pressures that do not rely on this historic shift?

Past literature offers one potential alternative: the distinction between major and minor power belligerents. Across time, a limited and evolving group of states have had the material means to project their power and to shape world politics in ways that suit their own interests. These states are known as major powers. Major powers may frequently clash with one another as they jockey for supremacy,38 but they have also frequently served as guarantors of peace for smaller warring states.39

Major powers are able to influence behavior because they have the resources to incentivize parties’ bargaining positions—either by withdrawing existing streams of support or by offering new resources to compensate for any perceived losses from a potential agreement.40 This leverage has had tangible influences on conflict management. Smaller states that rely on external support are more likely to accept third-party diplomatic efforts and the terms laid out in subsequent discussions.41 Conversely, major powers frequently elude or resist third-party conflict mediation efforts.42 Even lower-level rivalries involving major powers have attracted far fewer outside diplomatic efforts because potential third parties realize they do not possess the clout to influence major powers’ incentives.43

It also bears emphasis that major powers not only wield significant power on their own but are often the architects of international institutions that formalize their own interests and control. The Congress of Vienna in 1814 and 1815, organized to restructure Europe after the fall of Napoleon, is a seminal example of how major powers (at the time, Austria, France, Great Britain, and Russia) created a framework favorable to themselves that would stabilize the continent for the next century. Today, the United Nations Security Council is a prime example of how major powers (as understood in the middle of the twentieth century) define the parameters of discussion in affairs regarding international peace and security, all while nullifying proposals they do not like. Major powers can therefore mobilize a large infrastructure and peace lobby against actors that infringe on the major states’ own interests.

A logical conclusion to these arguments and evidence is that wars featuring only states that are not major powers—what we could call minor-power wars—are subject to greater degrees of latent external pressure than conflicts that include at least one major power as an active belligerent. To be clear, this does not suggest that major powers are wholly immune from outside pressures; Margaret Thatcher’s lamentations about being forced into mediations during the Falklands War, mentioned in chapter 1, attest to that. Indeed, the fact that the United Kingdom could feel obligated to negotiate only underscores how much more weight minor powers may perceive when diplomatic efforts are set on them.

To assess whether minor power wars offer another proxy for latent pressures to negotiate, I create a new measure for each war that tracks whether a major power participated in the conflict. I use the Correlates of War State Membership dataset to determine this information. According to the data, forty-five out of ninety-two wars feature only minor powers. Minor-power wars indeed undergo fundamentally different pressures than wars with at least one major-power belligerent. When major powers fight, only eighteen of ninety (20 percent) negotiations that occur are directly attributable to a third party’s efforts. When only minor powers fight, the rate almost triples; fifty-eight of ninety-nine (59 percent) talks are results of outside pressure.

Figure 3.6 investigates this relationship more rigorously using a multistate model. In this model, wars can transition between fighting and internal negotiations or between fighting and external negotiations. I exclude transitions to war termination, as it is necessary to reduce the number of states in the model in order to produce proper estimates.44 But the results on war termination in figure 3.5, which use internal and external negotiations as their main explanatory variables, provide the ideal complement to this model. The findings in figure 3.6 are consistent with my general argument. Conflicts with minor powers appear much more prone to entering periods of external negotiations, more than doubling the likelihood of such talks starting on any given day compared to wars with at least one major-power belligerent. The involvement of major or minor powers bears no meaningful connection with the onset of internal negotiations. Given that I have shown external talks to be much weaker predictors of war termination than their internal counterparts, we see that minor powers are more easily press-ganged into negotiations and that these discussions have a somewhat weak track record of producing sufficient concessions to settle the war.

Based on these results, some may conclude that the post-1945 effect is simply a consequence of more wars being between minor powers after World War II. This is not the case; roughly half of wars feature only minor powers across both periods.45 The effects related to minor powers are relevant across two centuries of fighting.

Determinants of Third-Party Pressure

My analysis of internal and external negotiations reveals valuable insights about the effects of latent pressures for peace. In particular, I produce evidence that higher latent pressures for peace from third-party actors create ideal conditions for negotiations that are likely to be insincere. Yet we must remember that third-party efforts to promote peace are not randomly assigned. States and international organizations outside a conflict are strategic actors that decide whether and when to apply pressure in hopes of spurring negotiations.46 Previous research by Jacob Bercovitch and Scott Gartner finds a negative relationship between mediation efforts and their success. Bercovitch and Gartner suggest that this initially discouraging assessment is the product of a selection effect where mediators involve themselves in the most challenging cases where chances of long-term peace are already low.47 If this argument regarding mediation is true, then my results regarding negotiations more broadly could be an artifact of third parties applying pressure in conflict scenarios that are relatively hopeless, leading to negotiations that simply have dim prospects regardless of belligerents’ sincerity. The existence of a selection effect would not wholly nullify my argument; third parties may involve themselves in more difficult conflicts while also contributing to the higher failure rate of the talks that they spearhead. Nonetheless, it is worth addressing this potential issue directly.

The information demonstrated in this image is fully described by the caption.
Figure 3.6. Coefficient plots for multistate models of negotiation onset, disaggregated by third-party pressure. Bands represent 95 percent confidence intervals (N = 36,864).

An ideal quantitative test that would address the possibility of a selection effect would involve data that track all third-party diplomatic efforts to encourage negotiations, and not only ones that came to pass. Such data would shed light on what factors are responsible for the actual activation of external pressures in war and whether they are correlated with the intractability of a war. I can approximate such a test for post-1945 conflicts using the International Conflict Management (ICM) dataset.48 The ICM dataset is a large-scale quantitative effort by Jacob Bercovitch to document all acts of conflict management around the world between 1945 and 1999, regardless of whether they had any success.49 The dataset contains information on the first day that a conflict management effort began, as well as whether that effort ultimately produced any negotiated concessions.

The ICM dataset provides evidence that third-party diplomatic intervention attempts frequently took place in the early stages of overall conflicts. Of 151 total diplomatic interventions, 75 (49.7 percent) occurred in the first third of wars’ eventual durations, and 61 of these 75 attempts either failed to convince belligerents to negotiate or did not generate any concessions. The remaining 14 resulted in some concessions but not enough to stop hostilities. This trend of early interventions followed by a drop-off in efforts stands in tension with the selection effect story, which would predict that more diplomatic efforts should occur as a conflict lengthens.50

Figure 3.7 applies a hazard model to the daily-level data to explore what factors affect the likelihood of third parties launching diplomatic efforts. Multiple results contradict the idea that third parties choose to intervene in the bleakest moments. Tellingly, we see more evidence that wars involving minor powers—which are more susceptible to external pressure than wars involving major powers—invite far more frequent intervention attempts. The point estimate suggests that the likelihood of such an attempt is higher by a factor of 7.4 for minor-power wars relative to the baseline rate.

Meanwhile, we find no statistically significant effect for issue salience, nuclear belligerents, the total number of belligerents, or the number of completed battles—all four of which would increase complexity and thus decrease prospects for peace.

The information demonstrated in this image is fully described by the caption.
Figure 3.7. Coefficient plots for survival model of third-party diplomatic interventions in post-1945 wars. Bands represent 95 percent confidence intervals (N = 11,398).

The result for battlefield outcomes is also noteworthy. Third-party diplomatic efforts do not appear to be informed by recent or overall levels of imbalance. This is consistent with my theory’s expectation that the relationship between the battlefield and the bargaining table becomes loosened in an environment with high levels of latent pressures for peace.

Outside appeals for diplomacy appear to be more frequent in minor-power conflicts and perhaps before belligerents have a meaningful chance to fight—and thus exchange information—to the best of their abilities. It should be unsurprising that talks borne of these efforts are, at best, a weak predictor of conflict termination and liable to be abused in service of the conflict. These trends indicate that external negotiations prompted by third-party diplomatic pressures are not systematically associated with intentional intervention in the toughest cases. At least after 1945, selection effects are not responsible for my findings.

As a whole, the array of results I have presented show that outside diplomatic pressure, captured using the post-1945 liberal international order as well as distinctions between major and minor powers, is associated with higher rates of negotiations but also a lower rate of success in formulating a mutually acceptable settlement. The political, institutional, and normative environment that surrounds the belligerents plays a meaningful part in shaping belligerents’ incentives to engage in diplomacy during war. Critically, my theory and findings emphasize that the choice of whether to talk to the enemy is distinct from the choice of whether to seriously attempt to make peace with the enemy.

Two Wars between Greece and Turkey

My quantitative results, which use new data at the war-day level of analysis, reveal novel and systematic patterns regarding the strategic logic of negotiating during war. At the same time, these patterns are broad, and they are identified using coarse variables that serve as proxies for key concepts. One may wonder the extent to which external pressures are truly responsible for the occurrence and outcomes of wartime diplomacy. I buttress this claim by briefly comparing the story of negotiations in two conflicts: the Greco-Turkish War of 1897 and the Turco-Cypriot War of 1974.

I choose these cases for three reasons. First, they exist on opposite sides of the year 1945, which plays a prominent role in my empirical tests to this point. Second, the conflicts involve the same set of key states: Greece on one side and the Ottoman Empire, or Turkey starting in 1919, on the other. While three other pairs of wars also satisfy these two criteria, they also involve multiple states on at least one side in at least one war, which inhibits clean comparisons.51 Third, both wars were sparked by disputes over the control of an island with significant historical and ethnic connections to the opposing parties. The two islands central to the two conflicts are also roughly similar in size. Holding the belligerents and issues roughly constant mitigates concerns that any observed differences in negotiation behavior exist because I am comparing different pairs of states with distinct pasts, areas of disagreement, or other dyadic attributes.52

The Greco-Turkish War of 1897

For years, Greece and Turkey disagreed over the fate of Crete. An island roughly three times the size of Rhode Island, Crete rests about 150 miles southeast of mainland Greece and 200 miles southwest of mainland Turkey. Figure 3.8 illustrates the geographical relationships between the two disputants and their object of dispute.

The proximate origins of the war arose in the 1878 Congress of Berlin, which was arranged to address outstanding issues following the Russians’ victory in the Russo-Turkish War of 1877–78. The congress was led by six major European powers: Austria-Hungary, France, Germany, Great Britain, Italy, and Russia. As one outcome of the diplomatic gathering, Crete, which had been under Ottoman rule since 1669, was to remain in Turkish hands but also be granted some limited political autonomy.

Figure 3.8. The map shows the geographic relationships between Greece, the Ottoman Empire, and Crete. Greece shares its northern border with the Ottoman Empire and extends into the Mediterranean Sea. The Ottoman Empire is much larger than Greece and surrounds much of the Mediterranean Sea. Crete is a small island nation in the Mediterranean Sea. The island is to the south of, and roughly equidistant from, the closest parts of Greece and the Ottoman Empire.
Figure 3.8. Map of Crete in 1895.

Crete had deep historical roots in the Greek and Roman empires, and the majority of its population was ethnically Greek. This majority had expressed its opposition to Ottoman rule on numerous occasions, staging at least eight revolts. Being granted autonomy, many Greek Cretans sought to be unified with Greece—a state that had declared independence from the Ottoman Empire in 1830 after a yearslong war of independence. Indeed, many ethnic Greeks in Europe spent the second half of the nineteenth century fixated on the “Megali Idea” (or “Great Idea”) of liberating Greeks from Ottoman rule and restoring the Byzantine Empire.53 The Ottomans were unwilling to allow this irredentist movement to make any progress.

Over the following two decades, the Turks dragged their feet on instituting meaningful reforms.54 By early 1897, tensions between Greek Cretans and the Turkish regime reached a state of crisis. A local revolt in Canea, the island’s capital, led to an alleged massacre where Ottoman troops killed numerous civilians. Greece soon deployed warships to patrol the waters around Crete, and by February, a Greek corps numbering 1,500 under Colonel Timoleon Vassos was sent to Crete with orders to take control of the island.55 On February 14, Vassos landed at Canea and unilaterally declared that Crete was now taken in the name of Greece.56

The great powers, responsible for upholding the terms of the 1878 Congress of Berlin, were alarmed by these developments and attempted to defuse the situation. The powers sent a joint note to both the Greeks and the Turks stating that, in accordance with existing agreements, Crete could not be annexed. Greece had to withdraw its forces from the island, and in exchange, the Ottomans had to move forward with Cretan autonomy.57 By March 21, a naval squadron comprising warships and personnel from the great powers established a blockade around Crete to stop further Greek reinforcements.58 The great powers attempted one last-ditch effort on April 6, when they submitted a verbal note to both states stating that the aggressor would be held responsible for the war and would not be able to keep any gains from fighting.59 The Ottoman Empire responded to these moves with highly diplomatic language and expressed a desire for a peaceful solution, but both sides prepared for war all the same.

As weeks progressed, Greek irregular forces were repeatedly found crossing into Ottoman territory. Despite the Greek government’s denial of any association with those forces, the Porte had had enough. The sultan approved a formal declaration of war on April 17.60 The Greek ambassador at Constantinople was informed that diplomatic relations were severed, and both the general public and the great powers learned of these developments the following day.61

A Winding Road to Diplomacy

The opening days of the conflict seemed auspicious for Greece. While limited hostilities occurred in Crete itself, the main campaign took place in the region of Thessaly, a northern area of Greece that the great powers had transferred from the Ottomans in the 1881 Convention of Constantinople. Upon declaring war, the Ottoman Empire deployed troops, under the command of Edhem Pasha, into Thessaly. Edhem Pasha would soon encounter Crown Prince Constantine of Greece, who commanded Greece’s troops. Between April 17 and 18, Turkish forces were temporarily repulsed by approximately 1,200 Greeks situated in the mountains near the village of Nezeros.62 Two days later, once Crown Prince Constantine received reinforcements, he moved north and managed to reclaim the town of Vigla from Turkish forces by launching a heavy artillery bombardment.

But these victories would not last. The Greek army was poorly organized and equipped, and it was managed by substandard officers who tended to retreat from hostilities.63 On April 18, Turkish forces had taken control of the Meluna Pass, which was essential to north–south movement. On April 22 and 23, Edhem Pasha amassed his forces near the town of Mati (in the northern part of Thessaly) and defeated the Greeks. Between the twenty-third and twenty-fifth, both Greek soldiers and civilians fled from the town of Tyrnavos and the city of Larissa, which was Constantine’s headquarters during the war. Greek forces were eventually forced to retreat further south to the towns of Velestino and Pharsalus.

Reports on these developments caused alarm in Athens and also among the great powers, which were all taken aback by Greece’s disastrous military prospects. Around the time Mati fell to the Turks, Greek officials relayed to the powers their interest in talks but refused to make this request on their own. Some form of external pressure would thus be necessary to instigate talks. Officials from France, Great Britain, and Russia discussed the possibility of offering terms of peace and mediation services to the belligerents. But the great powers did not fully agree on what preconditions they would require of the belligerents in order to move forward with diplomatic intervention. A week and a half passed between the first internal discussions on a mediation offer and the making of the actual offer itself. Emperor Wilhelm II of Germany created the highest barriers to diplomatic outreach, insisting that Greece had to admit defeat, withdraw all forces from Crete, and, in the emperor’s own words, “throw herself at the mercy of the Powers.”64 The great powers excluding Germany signed a démarche offering to mediate on May 6.

While the great powers had discussed the terms for mediation among themselves for almost two weeks, Greece’s military prospects cratered further. A total of 13,000 Turkish soldiers encountered a less well-equipped collection of 9,000 Greeks in Velestino on April 30.65 The Turks were initially repulsed after an ill-fated cavalry charge that cost at least 1,200 casualties.66

In the brief lull after this attack, Greek officials—growing increasingly anxious about their battlefield fortunes—privately informed the great powers on May 3 that Greece was interested in talks, but that they “would like the initiative to be taken by the Great Powers” in order to provide political cover for the government in Athens.67 The Greeks would have to wait three more days for the great powers to make this offer.

This waiting period came at a significant cost. On May 5, Turkish forces initiated a new assault at Velestino. The clash was costly for both sides but also depleted the Greek soldiers’ ammunition. Contemporaneous to this second attack, the Ottoman army launched a major assault in Pharsalus. The simultaneous battles were overwhelming for the Greeks, who on May 5 and 6 were forced to abandon both Velestino and Pharsalus and head further south to Domokos.68

It was now evident that Greece’s fortunes were doomed. On May 8, the government in Athens agreed to the great powers’ demands, including Germany’s additional requirement that all Greek troops be withdrawn from Crete.69 Two days later, Greece also distributed a statement that pledged to recognize Crete’s autonomy—yet another precondition added by Germany at the last second. Greece’s willingness to accept these increasingly humiliating terms was a testament to how hopeless the military cause had become. The great powers presented these updates to the Ottomans on May 12 and requested Turkish assent to mediation. Five days later, Constantine staged one last battle against the converging Turkish forces in Domokos. Edhem Pasha forced the Greeks into one final retreat before the Ottomans agreed to a ceasefire and great-power mediation.

Greece’s fervor and enthusiasm over the Megali Idea was ultimately not matched by Greece’s military capabilities to realize it. On May 20, thirty-two days after hostilities began, Greek and Turkish representatives met to negotiate near Lamia, only a handful of miles south of the final battle in Domokos. An armistice was immediately signed that day, formally ending hostilities and the war, which had taken the lives of approximately two thousand soldiers across both sides.70 The preliminaries of peace were signed in Constantinople on September 18, and the official Treaty of Constantinople was signed on December 4.71 Over the coming months, the great powers used their weight to shape specific terms regarding territory, indemnities, and political arrangements in Crete. All were unfavorable to Greece. A small portion of Thessaly was given to the Ottomans, and Greece was ordered to pay a large indemnity to the Turks. An international commission would be created to manage the Greek economy and ensure that this indemnity was paid.72 In exchange, the Turks would grant authority over Crete to an internationally supervised protectorate.

Little Choice but to Accept Defeat

The Greco-Turkish War of 1897 offers a useful illustration of an environment with relatively weaker latent external pressures for peace. This is not to argue, however, that a peace lobby did not exist in the pre-1945 era. The great powers viewed themselves as guarantors of a fragile order in Europe, and they made efforts both to prevent the war and to mediate a diplomatic resolution between Greece and Turkey. Given how reticent the Greeks were to make a request for peace, it is quite possible that the war would have continued beyond May 20 if the great powers had not become involved. Indeed, the sultan appears to have stopped hostilities following the battle at Domokos because of an urgent entreaty by Tsar Nicholas II of Russia.73 Turkish troops may have kept marching toward Athens if not for great-power pressure.74

Yet at the same time, the process the great powers navigated to determine the terms for mediation was slow and fractured. The powers were all uneasy about the “Eastern question” of how the European order would be revised if the waning Ottoman Empire eventually collapsed. Seeking to avoid a new crisis in southeastern Europe, but also deeply suspicious of one another’s motives, the great powers moved deliberately and in hopes of maintaining a consensus diplomatic position.75 In that light, Germany’s constant insistence on imposing more onerous preconditions on Greece delayed the powers’ ability to relay a unified offer of mediation. The official démarche eventually agreed on by the five other powers was circulated on May 6, which was almost 60 percent of the way into the war’s eventual duration.

Greece’s diplomatic behavior attests to the perceived costs that belligerents face when considering peace talks. News of battlefield losses in late April were so politically costly that Prime Minister Theodoros Deliyiannis was pushed into resigning on the twenty-seventh.76 The new government led by Dimitrios Rallis was eager to stop the war and arguably had a mandate to do so.77 Nevertheless, newly appointed Greek foreign minister Stefanos Skouloudis could send the aforementioned message only on May 3, and he mentioned that domestic tumult disallowed the government in Athens from making the first move and that the powers had to publicly intervene first. When Edhem Pasha’s forces overtook Domokos and pushed toward Athens, the Rallis government still did not publicly announce an interest in negotiations. Officials instead pleaded with the great powers to intervene on May 19, which likely led Tsar Nicholas II to help stop the Turkish advance.78 The fact that the Greeks had to implore the great powers to push for diplomacy—as opposed to a hypothetical world where the Greeks constantly refused the great powers’ appeals for diplomacy—indicates the relatively weak pressures for peace that the great powers were placing directly on the belligerents, as well as the urgency that Greece felt to end a futile war.

Hypothesis 1 derived from my theory suggests that when external pressures are relatively low, negotiations should be infrequent but also sincere and likely to end hostilities when they do take place. Moreover, Hypothesis 3 predicts that negotiations should be more likely to end hostilities when the battlefield trends in one side’s favor. Both implications are borne out in this war. The armistice talks on May 20 almost immediately ended hostilities because Greece saw no other options at that point. Even though Greece managed to maintain the facade that the great powers had imposed diplomacy on both parties, the military circumstances for Greece were dire. The terms did not pose any existential threat to Greece and exchanged very little territory, partially because the great powers did not want to rattle the status quo ante bellum. Greece’s punishments were mainly financial, economic, political, and reputational. The fact that the Athenian government accepted these embarrassing and repentant conditions was a visible testament to its desperate situation. Negotiations were perceived by the belligerents as highly costly to initiate on their own and required a very clear battlefield trend that overshadowed the risks inherent to seeking diplomacy. Talks were therefore slow to start, but because such acute circumstances were necessary for negotiations to occur in the first place, they also brought the war to a swift end.

The Turco-Cypriot War of 1974

Seventy-seven years after a war over the island of Crete, Greece and Turkey found themselves in another struggle over another island: Cyprus. That island, about 3,500 square miles in size, is slightly larger than Crete. Although figure 3.8 is primarily meant to identify Crete, Cyprus is the other large island to the east. Figure 3.9 provides a more detailed view.

Figure 3.9. The map of Cyprus illustrates geographic control of the island by different entities in 1973. Greek Cypriots occupy the vast majority of the island. Turkish Cypriots have smaller enclaves scattered around the island. Two British bases are established on the southern coast. The capital city of Nicosia sits inside a United Nations buffer zone that winds across the length of Cyprus.
Figure 3.9. Map of Cyprus.

Cyprus was settled by Greeks several thousand years ago, and numerous empires took control of the island over the centuries. Between 1571 and 1878, Cyprus was part of the Ottoman Empire. The same Congress of Berlin in 1878 that set the stage for the 1897 Greco-Turkish War in Crete played a significant role in Cyprus as well. In a secret agreement during the congress, the British obtained administrative control of Cyprus in exchange for establishing military bases to defend the Ottomans from the Russian Empire.79 The United Kingdom would subsequently annex the island from the declining Ottoman Empire, abrogating the agreement, in 1911.

As a consequence of Cyprus’s history, the vast majority of the island’s population was Greek. Many Greek Cypriots sought to unite Cyprus with Greece—an idea known as enosis (“union” in Greek). In 1955, some Greek Cypriots formed a nationalist paramilitary organization called EOKA (the Greek acronym for National Organization of Cypriot Fighters) to realize this goal. Turkish Cypriots, many of whom had sought to divide Cyprus between Greece and Turkey (taksim, which means “division” in Turkish), became worried that enosis would turn them into a highly vulnerable minority group. Growing concerns about the risk of war led Greece, Turkey, and the United Kingdom to agree that the best solution would be to allow Cyprus to become its own state.

The resulting 1960 Treaty of Guarantee between Cyprus, Greece, Turkey, and the United Kingdom prohibited Cyprus from uniting with any other state, guaranteed the integrity and security of Cyprus, and assigned the three non-Cypriot parties as guarantors of this arrangement.80 The Republic of Cyprus came into being on August 16, 1960, and the nation’s first president was Archbishop Makarios III—a fervent and influential champion of enosis.

Continuing ethnic tensions posed an immediate challenge to the new state’s stability. Upon independence, approximately 78 percent of the population was Greek, and 18 percent was Turkish.81 The Cypriot constitution of 1960 attempted to divide power between these two groups to ensure that each had a voice in government. Turkish Cypriots were given 30 percent of all government positions and would make up 40 percent of the army. The vice president would be a Turkish Cypriot, and both the president and vice president were granted wide-ranging veto powers.82

Pro-enosis Greek Cypriots grew increasingly frustrated by inhibitions to their dreams. In December 1963, Greek Cypriots attempted to push through a series of constitutional amendments that would strip the Turkish Cypriots of their political rights. A civil conflict erupted between the end of 1963 and the summer of 1964. The United Nations established a peacekeeping force in Cyprus (UNFICYP) as well as a buffer zone known as the “Green Line,” which divided the island into northern and southern regions, in an attempt to strike a ceasefire in December 1963. These efforts had limited effects. Many Turkish Cypriots were pushed into the Turkish quarter of Nicosia (the capital city), and others lost or abandoned their property. In June 1964, the Greek Cypriots in government unilaterally established the National Guard in an attempt to consolidate all military power on the island under Greek control.

Makarios’s government spent the next few years uninterested in enosis. Several factors contributed to this apparent reversal in policy preferences. First, a sudden economic boom for Greek Cypriots set them on a better trajectory than citizens in Greece.83 Second, Greece was overtaken by a military dictatorship under Georgios Papadopoulos between 1967 and 1973. Third, Makarios appeared to enjoy being president and was loath to give up this role, which he would have to do if Cyprus was incorporated into the Greek state.84

Extreme Greek nationalists banded together with elements of the military junta in Greece and guerrilla organizations in Cyprus to effect unification by force. Several unsuccessful assassination attempts failed to eliminate the archbishop, who continued to seek harsher measures against the Turkish Cypriots while making no steps toward enosis. Many of these attacks were staged by members of the armed organization EOKA B, a revival of EOKA that was created in 1971 by General Georgios Grivas, another influential figure in the enosis movement, who died in 1974. On November 25, 1973, Papadopoulos was tossed from power in Greece during a military coup by Dimitrios Ioannidis. Ioannidis and his compatriots had more direct connections to Cyprus and had served under Grivas in the past. The new military regime in Greece took action to remove Makarios from power and to press forward with enosis. On July 15, Ioannidis used the Cypriot National Guard to stage a military coup d’état that caused Makarios to flee the island. The Guard installed Nikos Sampson, a journalist and radical pro-enosis nationalist, as president of the new regime.

Turkey had watched developments in Cyprus over the last thirteen years with great consternation, but Makarios’s lack of interest in unification had kept the Turks from interfering in Cypriot affairs. The July 15 coup was a bridge too far. Turkish prime minister Bülent Ecevit conferred with British prime minister Harold Wilson, invoking the obligations of the 1960 Treaty of Guarantee to convince the UK to help restore the Makarios regime. Ecevit requested that Turkish forces be allowed to use the existing British bases to enter Cyprus and protect the Turkish Cypriots. The UK declined—an outcome Ecevit fully expected. A day later, on July 18, Ecevit spoke with US officials and enumerated Turkey’s demands: a withdrawal of Greek officers from Cyprus, the admission of Turkish troops in Cyprus, and equal rights for Greek and Turkish Cypriots. The Ioannidis government refused to consider such terms.85 Exhausting its diplomatic options, Turkey took unilateral military action.86 Around six o’clock in the morning on July 20, Turkish forces initiated their first military operation, landing near Kyrenia on the north shore of the island. The Turkish government informed the UN, US, and UK of its intentions to honor the Treaty of Guarantee by intervening on Turkish Cypriots’ behalf.87 Turkish troops faced significant resistance from both Greek and Greek Cypriot forces. Realizing an invasion was at hand, Greece mobilized within hours and moved some troops to the Greek-Turkish border. The war for Cyprus had begun.

High Pressures, Constant Diplomacy

External pressures to end the conflict and return to diplomacy were both immediate and sizable. The day the war began, the United Nations Security Council unanimously adopted Resolution 353, demanding the withdrawal of all foreign military personnel and calling on the belligerents to “enter into negotiations without delay for the restoration of peace.”88 For weeks, Secretary of Defense and National Security Adviser Henry Kissinger had been concerned with developments in Cyprus. He frequently corresponded with British foreign secretary James Callaghan to discuss diplomatic strategies to manage the conflict. With President Nixon fixated on political fallout from the Watergate scandal (which would lead to his resignation on August 9, in the middle of the war), Kissinger deployed Under Secretary of State Joseph Sisco to join Callaghan and meet Ecevit with the intention of offering a four-point request to cease further hostilities.

Collective efforts by Sisco and Callaghan were significant enough to push both Greece and Turkey to accept a nominal ceasefire while representatives met to start negotiations in Geneva. When the ceasefire came into effect on July 22, the Turks had captured only about 3 percent of Cyprus. Attempting to place more weight on diplomacy, NATO officials staged a ninety-minute emergency meeting immediately following the ceasefire and publicly urged Greece and Turkey to bring fighting to a halt and enter “prompt and successful discussions” to prevent matters from “threaten[ing] the existence of the alliance.”89 A coup in Greece on the same day, as well as the removal of Nicos Sampson from power in Cyprus a day later, delayed the start of talks by three days.

The Geneva conference commenced on July 25. Diplomats from Greece and Turkey—led by Greek foreign minister George Mavros and Turkish foreign minister Turan Güneş, respectively—were guided through mediation by Callaghan. With hostilities somewhat paused, Callaghan attempted to forge a more permanent peace. As talks proceeded for several days, however, it became obvious that the two sides’ positions were far apart and unlikely to appreciably change. The three states could not even agree on whether the Geneva talks were taking place because those states were the guarantors of the 1960 Treaty of Guarantee or because they had been pushed into talks by Resolution 353. Greece sought an immediate cessation of Turkey’s military activities and the withdrawal of troops to prewar positions. Turkey had no intention of reversing its gains. On the eve of talks, Ecevit publicly declared that “Turkish presence on the island is now irrevocably established.”90 Turkey frequently violated the ceasefire based on the claim that Turkish Cypriots and Turkish soldiers were being attacked.91 Ecevit’s government demanded that all Turkish Cypriot enclaves be reverted back to the prewar status quo, that Turkish troops should be allowed to remain on the island with no limits on further reinforcements, and that Turkish Cypriots should be granted full autonomy.92 A request by the Greeks for a map of a provisional ceasefire line was also rejected.

Nevertheless, by July 30, the Geneva conference ended with a joint declaration among all parties and shaped by both the UK and the US, calling for a ceasefire, security zones, exchange of military prisoners and civilians, a gradual reduction of armed forces on the island, and further negotiations to begin on August 8. Critical questions regarding the size of the security zone and the responsibilities of the UNFICYP in administering this peace were not resolved and were instead pushed to the second round of talks. Greek Cypriot and Turkish Cypriot representatives would be invited to the next negotiations. Even though the declaration was meant to be only preliminary and tentative in nature, it still contained some noteworthy language. Importantly for the Turkish Cypriots, the declaration “noted the existence in practice in the Republic of Cyprus of two autonomous administrations.” The document emphasized that this observation would not bring “any prejudice to the conclusions to be drawn from the situation,” but it was clear that enosis was likely off the table.93

Turkey’s ability to dictate many terms in Geneva was a testament to its superior military position. An initial contingent of 750 Turkish soldiers in Cyprus, placed there in the past, was first reinforced with 8,000 more soldiers and ultimately expanded to a final total of 40,000 troops with two hundred tanks.94 The Greeks mustered approximately 14,000 men but were unable to properly reinforce or resupply them when their ships were intercepted and destroyed by Turkish vessels. Turkey pressed this advantage over the course of negotiations. The five days of talks in Geneva had quieted the battlefield, but the ceasefire was repeatedly violated by the Turks. The Turkish army made numerous advances between July 25 and 29. On the twenty-ninth, Turkish troops warned UN peacekeepers to leave their camps near Kyrenia. Between July 29 and August 1, Turkey took its time in demarcating the front line as required by the joint declaration, using the opportunity to make more territorial gains without much Greek resistance.95 S. J. L. Olver, British higher commissioner in Cyprus, noted on August 1 that it was “clear that until we get a cease fire line demarcated and properly policed, the Turkish military will go on extending their area.”96 Olver and other observers were not wrong. Between the two Geneva conferences, Turkish forces pressed westward with minimal resistance. The demarcation committee, which was tasked with determining the demarcation line mentioned in the July 30 declaration, found significant differences between lines as they stood on July 30 and where they stood during the committee’s first meeting three days later. Turkish troops also began to forcibly evict and relocate Greek Cypriots from newly “liberated” areas on August 3. Greek Cypriots were firmly told that they would never return.97 These efforts, which were human rights violations on their own, were also paired with other atrocities such as kidnapping, rape, forced starvation, and murder of civilians.98

When a second round of talks began on August 8, Turkey had increased its territorial control of Cyprus from 3 percent to about 15 percent.99 A confident Turkish delegation returned to the language of the July 30 declaration and proposed that Cyprus become a republic with two administrative autonomous regions. The northern region would be Turkish, the southern region would be Greek, and all Cypriots would need to relocate to these respective areas. A new constitution would be necessary for this arrangement. The Greek delegation refused this idea and insisted on reverting back to and potentially amending the 1960 constitution. On August 11, with the indirect prodding of Henry Kissinger in Washington, Turkey made a new proposal involving the establishment of several autonomous Turkish Cypriot cantons around Cyprus. Since both the partition and canton plans granted about 30 percent of the island to the Turkish Cypriots, the Greeks balked at both proposals.100 The same day, the Greeks also noted with concern that Turkish aircraft and military appeared to be mobilizing.101 Desperate mediation by both Callaghan and Kissinger on August 13 and 14 produced no further compromises. According to Glafcos Clerides, the temporary president of Cyprus after Nico Sampson’s removal, no Greek Cypriot could accept the Turks’ terms “in 15 days or even in 15 years. The geographical limits were inconceivable.”102

At 2:25 on the morning of August 14, the Geneva talks failed. Turkish air fighters began bombing the capital city of Nicosia hours later.103 Reinforced Turkish troops proceeded to make a largely unopposed advance down Cyprus until they reached the buffer zone (the Green Line) that the UN had established in 1963. The northern half of Cyprus, or about 38 percent of the island’s total area, was effectively under Turkish control.104 On August 16, Security Council Resolution 360 formally disapproved of Turkey’s actions and urged all parties to comply with Resolution 353. By that point, Turkey had obtained its objective of securing an autonomous region for Turkish Cypriots, and the government in Ankara therefore agreed to the ceasefire mandated in Resolution 353. The war ended twenty-seven days after it began, with at least six thousand Greek Cypriots, one thousand Turkish Cypriots, and three hundred Turkish soldiers dead.105 In the coming weeks and months, about fifty thousand Turkish Cypriots were displaced to the north, while two hundred thousand Greek Cypriots fled south.106

Negotiation Theater

In contrast to the Greco-Turkish War of 1897, the Turco-Cypriot War shows what happens in an environment with strong latent external pressures for peace. Serious diplomatic force was triggered on the first day of the war. The United Nations immediately launched into action by adopting Resolution 353, which called for the territorial integrity of Cyprus, the withdrawal of foreign military, a ceasefire, negotiations by the three guarantor states, and cooperation with the existing peacekeeping mission on the island. While Turkey did not accede to Resolution 353 until August 16, the resolution’s existence loomed over talks at Geneva. One of the first joint press releases distributed during the Geneva conference explicitly mentioned all three parties’ commitment—however genuine it may or may not have been—to upholding Resolution 353.107

Regardless of the resolution, the largest direct sources of diplomatic pressure came from the United Kingdom and the United States.108 The Geneva talks occurred on the sixth day of the war, 22 percent of the way into the conflict’s overall duration, and one-third of the total conflict would involve formal talks between the belligerents. A prominent feature of the Anglo-American diplomatic effort was its lack of coordination. Both parties eagerly sought peace but had differing views on the scale and nature of that peace. Callaghan, serving as the official mediator, aimed to produce a stable ceasefire in order to allow the Cypriots to determine their own political solution. Kissinger, who was communicating with the belligerents directly from outside the Geneva talks, believed no peace was possible without a broader agreement that included a long-term constitutional arrangement that would grant Turkey some protections and concessions.109 Though Kissinger introduced the idea of a cantonal arrangement to Ecevit on August 11, Callaghan learned of this proposal only when the Turkish ambassador to the UN mentioned it later that day. Callaghan angrily called the State Department, saying he “was not prepared to be a dummy in the middle.”110 Callaghan favored a plan that cleanly separated Greek and Turkish Cypriots. He therefore addressed the cantonal idea when other delegations mentioned it but made clear his fear that numerous cantons scattered around the island would increase the likelihood of conflict. Unlike in the 1897 war, however, policy differences between the third parties did not stop them from pressing the belligerents to settle, even if in slightly different directions.

In retrospect, the policy rifts that emerged during the Anglo-American push for a negotiated peace were immaterial in that they did not acknowledge a fundamental truth: Turkey had no interest in a diplomatic settlement. Talks in Geneva took place before the belligerents reached a common understanding of how the war would unfold. The Greeks, British, and Americans did not observe sufficient information to realize Turkey’s serious ability and willingness to accomplish its goals by unilateral force. During a meeting on July 21, one day before both belligerents agreed to a ceasefire and talks, and at the point when Turks controlled only 3 percent of the island, Kissinger suggested that the Turks were “doing lousy militarily.”111 Weeks later, the Greeks still appeared to have a weak understanding of Turkey’s military capabilities. Officials balked at the Turks’ cantonal proposal on the basis that it would grant too much of the island—34 percent—to the Turkish Cypriots.112 This Turkish proposal came with an ultimatum, which neither the government in Athens nor the one in Washington appeared to take seriously. The fact that Turkey ultimately seized almost 40 percent of Cyprus shows that most actors did not fully grasp what Turkey could accomplish. Negotiations that took place at this point in the conflict, before belligerents could fully activate their military capabilities, were unlikely to produce any self-enforcing peace.

My theory predicts that when external pressures are high and amounts of information from recent fighting are somewhat limited, negotiations will be relatively frequent but also used insincerely to further belligerents’ war aims; such is the synthesis of Hypotheses 2 and 3. The Turco-Cypriot War bears this out. Constant diplomatic efforts by the United Kingdom and United States made it difficult for Greece and Turkey to sidestep negotiations. Efforts to avoid being pressured by third parties, which included a Turkish attempt to not grant clearance to a plane that was transporting Under Secretary of State Sisco to Ankara,113 were not successful. On multiple occasions during the Geneva talks, Callaghan and Kissinger also persuaded both sides to stay at the bargaining table longer than they originally intended.

Although Kissinger and many in the State Department sought negotiations, others in Washington feared that diplomacy would only exacerbate the war. Secretary of Defense James Schlesinger, in particular, opposed the first round of Geneva negotiations due to concerns that the Turks would “bring in more troops under a ceasefire, reinforce here and there. That would change the whole picture.”114 The Turks not only reinforced troops in Cyprus but made significant territorial gains in violation of the ceasefire.

At the same time, Greece attempted to drag its feet during the July session in Geneva. Greek officials knew that the issue of Cyprus would go to the United Nations in early August. Consequently, Mavros’s delegation chose to offer very few concessions, instead hoping that they could use late July and early August to reinvigorate their military while going on an international campaign to frame Turkey as a military occupier. The Greeks hoped that global disapproval of Turkey would produce a new Security Council resolution that might force Turkey to pull back.115

The second round of negotiations in Geneva exhibited even more insincere behavior. Greece continued to use talks to reshape public sentiment against Turkey. Indeed, by early August, reports of Turkish atrocities were swiftly souring global support for Turkey.116 Güneş expressed concerns that the new iteration of Geneva talks were being used by the Greeks to, in the New York Times’ words, “stall for time, to wall in the Turkish force with barbed wire and to diminish its effectiveness.”117

Turkey’s accusations toward Greece may have been a form of projection. Political observers at the time suspected that Turkey was worried that protracted talks would enervate its bargaining position (which it knew was worsening due to international condemnation of Turkish troops’ human rights violations) while allowing the Greeks and Greek Cypriots to recover both militarily and diplomatically.118 Critically, Turkey also entered talks with an exit option in mind.119 In the first week of August, Ecevit told Güneş that the military would be fully prepared for its next offensive in the next two or three days.120 As such, if the Greeks and British did not accept Turkey’s demands, Ecevit would furtively inform Güneş that troops were ready to go and that negotiations could continue but that the Cyprus affair would be resolved militarily. When Güneş was told on August 11 that Ecevit said “Ayşe [Güneş’s daughter] should go on vacation,” the encrypted message was sent.121 Talks would continue, but mainly to go through the motions of diplomacy and to allay suspicions about Turkey’s increasingly obvious troop mobilizations. Callaghan would later write in his memoir that Güneş constantly used stall tactics to gain time for Turkey to engage in military activity.122 The government in Ankara therefore used discussions in Geneva to improve its reversion outcome. Once talks were terminated on August 14, Turkey was fully prepared to realize military victory.

The war would have likely proceeded differently in the absence of diplomatic pressure. Greece and Turkey would have been far less inclined to negotiate and may have refused to talk completely. The vast policy differences between Athens and Ankara during the first Geneva round further suggests that neither side would have reasonably sought to negotiate with the other only days into the war. Both Mavros and Güneş informed Callaghan that the highly unstable domestic environments in their respective countries (including the collapse of the military junta in Greece on July 23) prevented them from making significant concessions.123 The ceasefire and negotiation between late July and mid-August were highly unlikely to have emerged organically without pressures from the UN, UK, and US. Despite numerous Turkish violations, the ceasefire significantly quieted the battlefield and gave both sides an opportunity to regroup.

To be sure, Greece and especially Turkey could have managed to replenish their military forces in the absence of negotiations. Turkey almost assuredly would have accomplished its objectives by force without spending any time talking to the UK or US. Nevertheless, the relative decline of active hostilities gave Turkey more breathing room to expand and organize its military presence to forty thousand men on its own terms, enabling more brutal and systematic atrocities against Greek Cypriots. Negotiations also had political consequences. Floating proposals and having Turkey reject them helped contribute to Greece’s campaign to publicly vilify Turkey and pressure Ecevit’s government to potentially pull its troops back. Greece did not succeed on this front, but that does not negate the fact that an attempt was made. Turkey was afforded the opportunity to (somewhat erroneously) justify its ceasefire violations as responses to Greek Cypriot aggression and to suggest that military action was reluctantly chosen as a last resort because Greece and the United Kingdom refused to compromise.

It is worth noting that Turkey’s war objectives did not appreciably change during the entire conflict. On August 10, the Turkish government outlined its bargaining demands in an article in the newspaper Milliyet. The proposal involved a united republic with two autonomous regions and an allocation of 30 percent of Cyprus to the Turkish Cypriots. These terms were essentially the same as what British intelligence officials had reported on July 19 before the invasion began.124 Turkey was thus highly unlikely to have tried seizing a larger portion of Cyprus if mediation never occurred. In sum, negotiations during the Turco-Cypriot War likely inflamed political animosities, prolonged the conflict, and worsened humanitarian suffering without changing the war’s ultimate outcome. Wartime diplomacy, when deployed at inopportune moments, may have hurt more than it helped.

Placing Excessive Pressure on the Wound

This chapter has painted a multifaceted picture of wartime diplomacy. Factors both beyond and within an individual conflict have consequential effects on the initiation of negotiations as well as their likelihood of resolving wars.

My quantitative analysis has demonstrated that latent pressures for peace, embodied by the bevy of peace-centric institutions and the relationships that belligerents have with outside actors, broadly define how the act of negotiating can damage or improve a party’s reversion outcome. Those pressures thus shape a belligerent’s willingness to talk to the enemy. Wars that take place after 1945, as well as wars featuring only minor powers, undergo more frequent but unproductive negotiations. The day-to-day developments on the battlefield, which sculpt expectations about the trajectory of hostilities, further modulate whether diplomacy is sought sincerely or insincerely. Quiet and indeterminate phases of fighting offer little incentive for belligerents to settle using their words. It is when recent fighting reveals a clear trend in one belligerent’s favor that any diplomatic interactions that do take place are more likely to be sincere and promptly lead to a settlement. New data, which capture conflicts at a level of granularity not yet seen in quantitative studies of war, were necessary to identify and explore these dynamics across two hundred years of conflict.

Comparisons of two wars between Greece and Turkey illustrate the importance of latent external pressures and the battlefield in more vivid terms. When third parties do relatively little to push belligerents toward diplomacy, as was the case with the great powers during the Greco-Turkish War of 1897, the states do not start talking until hostilities have provided enough information to change the diplomatic calculus. Greece overcame its concern about looking weak only when a series of battles made its weakness self-evident. Talks hastily brought the war to an end in the Ottomans’ favor. In contrast, in the Turco-Cypriot War of 1974, the same two states were subjected to constant pressures to negotiate. Mediation in Geneva was hurried and persistent and brought the belligerents to the table long before any parties had a clear understanding of the war’s likely trajectory. The talks, as well as the pockets of peace they helped create, enabled both Greece and Turkey to adjust their political and military strategies in hopes of improving their reversion outcomes when diplomacy foundered. These machinations failed to stop Turkey from achieving its original goal of creating an autonomous Turkish region in Cyprus.

My findings both reinforce and counter existing strands of conflict scholarship. When it comes to determining whether wars continue or conclude, the battlefield remains supreme. Bargaining models of war have consistently made the case that fighting provides the information necessary to resolve wars. My results reinforce that existing branch of scholarship while standing in contrast to ripeness theory, which would predict the opposite relationship between trends from fighting and negotiation onset. At the same time, my theory and analysis identify conditions in which negotiations are likely to occur yet are simultaneously unlikely to accomplish their professed objective of ending hostilities. Bargaining models of war would suggest that when a round of negotiations fails, the conflict resumes on the same path it had followed before talks began. Negotiations are presumed to have no impact on how the remainder of the conflict unfolds. Ripeness theory provides little insight into whether diplomatic talks are more or less likely to succeed in achieving peace, often implicitly assuming that negotiations presage settlement. I have shown that the frequent disjuncture between talking and settling indicates how negotiations are a much more complex and irregular activity than extant theories often presume. Diplomacy can worsen one’s reversion outcome, and the combination of this concern with latent external pressures often helps to explain belligerents’ unwillingness to talk to the enemy.

My analysis of the Turco-Cypriot War touches on the second half of my argument: whether negotiations, used insincerely and failing to produce peace, can instead produce side effects that improve an actor’s reversion outcome and the subsequent trajectory of the conflict. While the 1974 conflict provides evidence in favor of this claim, we must address it more systematically and thoroughly. This is the task of the next chapter.

Annotate

Next Chapter
4
PreviousNext
Copyright © 2025 by Cornell University, All rights reserved. Except for brief quotations in a review, this book, or parts thereof, must not be reproduced in any form without permission in writing from the publisher. For information, address Cornell University Press, Sage House, 512 East State Street, Ithaca, New York 14850. Visit our website at cornellpress.cornell.edu.
Powered by Manifold Scholarship. Learn more at
Opens in new tab or windowmanifoldapp.org